Section 5.1 — Introduction to Bayesian statistics

Contents

Section 5.1 — Introduction to Bayesian statistics#

This notebook contains the code examples from Section 5.1 Introduction to Bayesian statistics from the No Bullshit Guide to Statistics.

Notebook setup#

# Ensure required Python modules are installed
%pip install --quiet numpy scipy seaborn statsmodels bambi ministats
[notice] A new release of pip is available: 26.0.1 -> 26.1.1
[notice] To update, run: pip install --upgrade pip
Note: you may need to restart the kernel to use updated packages.
# Load Python modules
import numpy as np
import pandas as pd
import seaborn as sns
import matplotlib.pyplot as plt
# Figures setup
plt.clf()  # needed otherwise `sns.set_theme` doesn't work
sns.set_theme(
    context="paper",
    style="whitegrid",
    palette="colorblind",
    rc={"font.family": "serif",
        "font.serif": ["Palatino", "DejaVu Serif", "serif"],
        "figure.figsize": (5,3)},
)
%config InlineBackend.figure_format = "retina"
<Figure size 640x480 with 0 Axes>
# Simple float __repr__  
if int(np.__version__.split(".")[0]) >= 2:
    np.set_printoptions(legacy='1.25')

Definitions#

Data model and likelihood function#

Parameters distributions#

Bayesian model#

Calculating the posterior distribution#

Bayesian inference results#

Visualizing the posterior#

from ministats.plots.figures import posterior_visualization
posterior_visualization(heads=4, n=5)

Point estimates#

  • posterior mean

  • posterior median

  • posterior mode

Bayesian credible interval#

  • \((1-\alpha)\) high density interval

Bayesian predictions#

  • draws form the posterior predictive distribution

Bayesian hypothesis testing#

TODO

Bayesian inference#

TODO: add explanations and formulas

Bayesian updating of posterior probabilities#

from ministats.plots.figures import prior_times_likelihood_eq_posterior
prior_times_likelihood_eq_posterior(heads=4, n=5)

Grid approximation#

TODO: add explanations and formulas

TODO: add steps

Pseudocode:

prior_rv = ... # specify the prior distribtion
model = ...    # specify the data model

# 1. Define the grid of possible parameter values
thetas = [0, 0.05, 0.10, 0.15, ..., 1.0]

# 2. Evaluate the prior distribution for all thetas
prior = [prior_rv.pdf(th) for th in thetas]

# 3. Compute the likelihood of the data for all thetas
likelihood = [model(th).pdf(data) for th in thetas]

# 4. Calculate the numerator in Bayes' formula
numerator = np.multiply(likelihood, prior)

# 5. Normalize to obtain the posterior distribution
posterior = numerator / np.sum(numerator)
from ministats.plots.figures import prior_times_likelihood_eq_posterior_grid
prior_times_likelihood_eq_posterior_grid(heads=4, n=5)

Example 1: estimating the probability of a biased coin#

Suppose we’re given a biased coin and we want to estimate the probability the coin turns up heads.

Data#

We have a sample \(\mathbf{c} = \texttt{ctosses}\) that contains \(n=50\) observations (coin tosses) from the coin. The outcome 1 corresponds to heads, while the outcome 0 corresponds to tails.

ctosses = [1,1,0,0,1,0,1,1,1,1,1,0,1,1,0,0,0,1,1,1,
           1,1,1,1,1,1,1,0,1,1,1,1,1,1,1,1,0,0,1,0,
           0,1,0,1,0,1,0,1,1,0]

sum(ctosses), len(ctosses), sum(ctosses)/len(ctosses)
(34, 50, 0.68)

Model#

The Bayesian model for the coin tosses is describe by the Bernoulli distribution with a uniform prior on the parameter:

\[ C \sim \textrm{Bernoulli}(P), \qquad P \sim \mathcal{U}(0,1). \qquad \]

To estimate the parameter \(P\), we’ll use the Bayesian inference following the five-step grid approximation procedure.

Step 1: define a grid of possible parameter values#

We start by defining a grid for the possible values for the parameter \(P\). We’ll cover the interval from \(0\) to \(1\) using a grid with 100 steps.

ngrid1 = 101             # number of points in the grid
ps = np.linspace(0, 1, ngrid1) # [0, 0.01, ..., 1.0]
ps[0:5]
array([0.  , 0.01, 0.02, 0.03, 0.04])

Step 2: define a flat prior distribution#

from scipy.stats import uniform
prior1 = uniform(0,1).pdf(ps)
prior1[0:5]
array([1., 1., 1., 1., 1.])

Step 3: compute the likelihood#

Next we want to compute the likelihood of the data \(\tt{ctosses} = \mathbf{c} = [c_1,c_2,\ldots,c_{50}]\) according to the model \(f_{C|P}(c|p) = p^c(1-p)^{1-c}\).

Recall that the likelihood function is the product of the probabilities for individual observations

\[\begin{align*} L_{\mathbf{c}}(p) &= f_{C|P}(c_1|p) \, f_{C|P}(c_2|p) \, \cdots \, f_{C|P}(c_{50}|p) \\ &= p^{c_1}(1-p)^{1-{c_1}} \, p^{c_2}(1-p)^{1-{c_2}} \cdots \, p^{c_{50}} (1-p)^{1-c_{50}} \\ &= p^{\sum_i^n c_i} (1-p)^{n-\sum_i^n c_i} \\ &= p^{y} (1-p)^{n-y}, \end{align*}\]

where we have defined \(y = \sum_i^n c_i\) the total number of heads in the data \(\tt{ctosses} = \mathbf{c}\).

We can use now use this formula to calculate the likelihood of the data for all the values of the parameters \(P\) in the grid ps.

y = sum(ctosses)
n = len(ctosses)
likelihood1 = ps**y * (1-ps)**(n-y)

likelihood1[0:101:25]
array([0.00000000e+00, 3.39578753e-23, 8.88178420e-16, 1.31559767e-14,
       0.00000000e+00])

Step 4: calculate the numerator in Bayes’ formula#

Next we multiply the likelihood and the prior to obtain the numerator of the Bayes’ rule formula.

numerator1 = likelihood1 * prior1

numerator1[0:101:25]
array([0.00000000e+00, 3.39578753e-23, 8.88178420e-16, 1.31559767e-14,
       0.00000000e+00])

Step 5: normalize to obtain the posterior distribution#

The final step is to make sure the posterior is a valid probability distribution.

posterior1 = numerator1 / np.sum(numerator1)

posterior1[0:101:25]
array([0.00000000e+00, 8.52710007e-11, 2.23028862e-03, 3.30357328e-02,
       0.00000000e+00])

We can verify that the sum of the values in the array posterior1 is \(1\).

np.sum(posterior1).round(15)
1.0

Visualizing the posterior#

posterior1d = posterior1 / (ps[1] - ps[0])
sns.lineplot(x=ps, y=posterior1d, label="posterior")
sns.lineplot(x=ps, y=prior1, ls="--", label="prior");

Summarize the posterior#

Posterior mean#

postmu1 = np.sum(ps * posterior1)
postmu1
0.673076923076923

Posterior standard deviation#

poststd1 = np.sqrt(np.sum((ps-postmu1)**2*posterior1))
poststd1
0.06443431329777005

Posterior median#

cumsum1 = np.cumsum(posterior1)
idxMed = cumsum1.searchsorted(0.5)
ps[idxMed]
0.68

Posterior quartiles#

idxQ1 = cumsum1.searchsorted(0.25)
idxQ2 = cumsum1.searchsorted(0.5)
idxQ3 = cumsum1.searchsorted(0.75)
ps[idxQ1], ps[idxQ2], ps[idxQ3]
(0.63, 0.68, 0.72)

Posterior percentiles#

idxP03 = cumsum1.searchsorted(0.03)
idxP97 = cumsum1.searchsorted(0.97)
ps[idxP03], ps[idxP97]
(0.55, 0.79)

Posterior mode#

ps[np.argmax(posterior1)]
0.68

Credible interval#

from ministats import hdi_from_grid
hdi_from_grid(ps, posterior1, hdi_prob=0.9)
[0.54, 0.76]

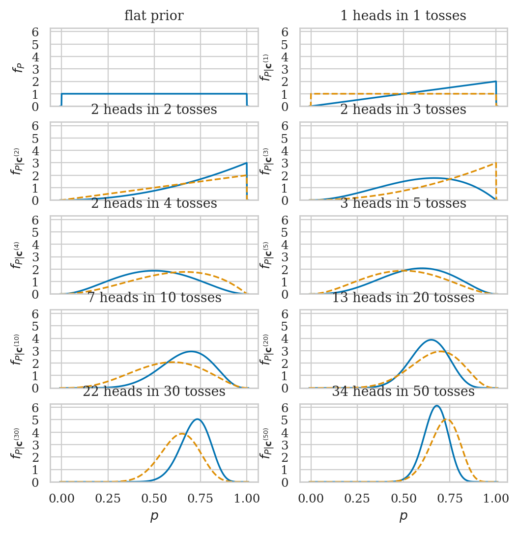
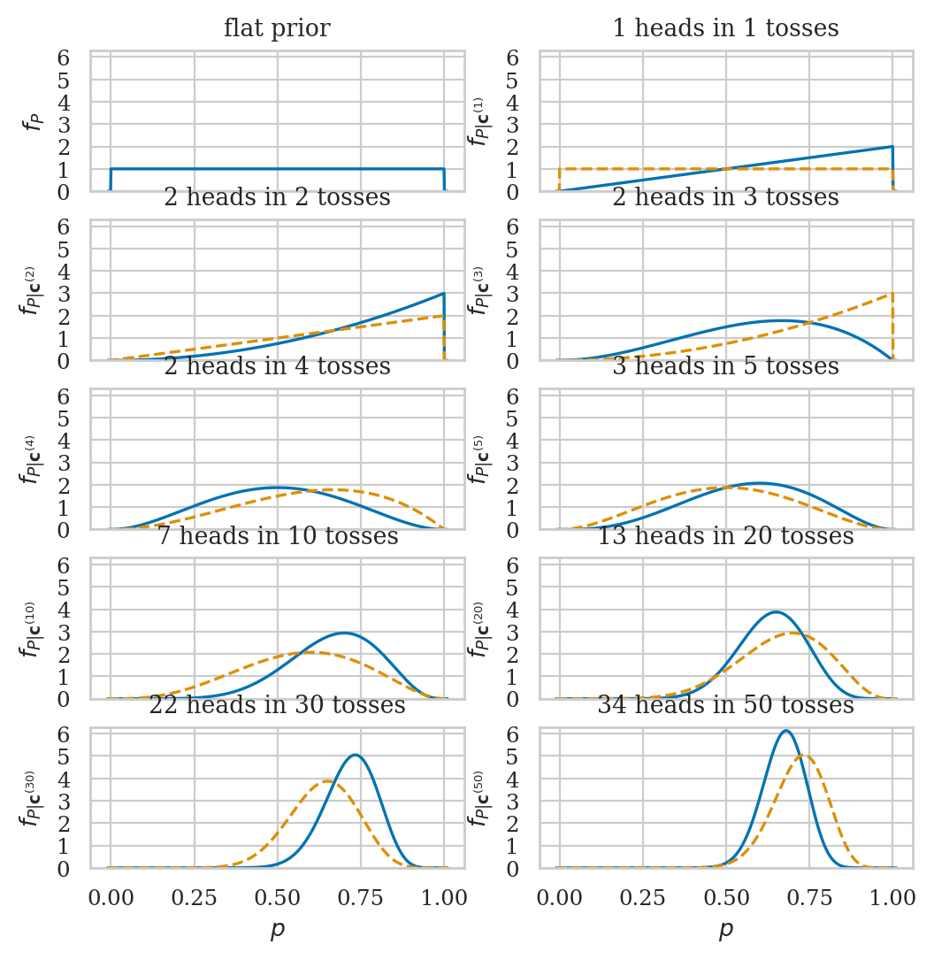
Visualizing the posterior updates over time#

from ministats.plots.figures import panel_coin_posteriors
panel_coin_posteriors()

Example 2: estimating the IQ score#

Suppose we’re investigating the effect of a new smart drug. We give the drug to a sample of \(30\) individuals who are representative of the population, then make them take an IQ test.

Data#

We have a sample of \(n=30\) IQ measurements from people who took the smart drug.

iqs = [ 82.6, 105.5,  96.7,  84.0, 127.2,  98.8,  94.3,
       122.1,  86.8,  86.1, 107.9, 118.9, 116.5, 101.0,
        91.0, 130.0, 155.7, 120.8, 107.9, 117.1, 100.1,
       108.2,  99.8, 103.6, 108.1, 110.3, 101.8, 131.7,
       103.8, 116.4]

Model#

We will use the following Bayesian model:

\[ X \sim \mathcal{N}(M, \sigma=15), \qquad M \sim \mathcal{N}(\mu_M=100,\sigma_M=40). \]

We place a broad prior on the mean parameter \(M\), by choosing a large value for the standard deviation \(\sigma_M\). We assume the IQ scores come from a population with known standard deviation \(\sigma = 15\).

Step 1: define a grid of possible values of the mean#

This time we’ll use a finer grid with 1000 steps. The parameter space for the mean of a normal distribution is infinite \((-\infty, \infty)\), so we can’t define a grid that covers the whole parameter space. Instead, we’ll define a grid that cover only the most likely values for the mean, which is a window of \(\pm 20\) around the mean of the wider population.

ngrid2 = 1001  # number of points in the grid
mus = np.linspace(80, 120, ngrid2)
mus[0:5]
array([80.  , 80.04, 80.08, 80.12, 80.16])

Step 2: define the prior for the unknown mean#

We define a normal distribution centered at \(\mu_M=100\) with standard deviation \(\sigma_M=40\), then evaluate it for each point in the grid mus.

from scipy.stats import norm

mu_M = 100
sigma_M = 40
prior2 = norm(loc=mu_M, scale=sigma_M).pdf(mus)

prior2[0:1001:300]
array([0.00880163, 0.00977607, 0.00992381, 0.00920675])

Step 3: compute the likelihood of the data#

TODO: show formula

TODO: explain iterative calculation

sigma = 15  # known population standard deviation

likelihood2 = np.ones(ngrid2)
for iq in iqs:
    likelihood_iq = norm(loc=mus, scale=sigma).pdf(iq)
    likelihood2 = likelihood2 * likelihood_iq

likelihood2[0:1001:300]
array([1.23613569e-77, 1.80497559e-62, 1.20898934e-55, 3.71466415e-57])

Steps 4: calculate the numerator in Bayes’ rule formula#

numerator2 = likelihood2 * prior2

numerator2[0:1001:300]
array([1.08800129e-79, 1.76455630e-64, 1.19977849e-57, 3.41999972e-59])

Steps 5: normalize to obtain the posterior distribution#

posterior2 = numerator2 / np.sum(numerator2)

posterior2[0:1001:300]
array([2.02698373e-25, 3.28742893e-10, 2.23522850e-03, 6.37157683e-05])

Visualizing the posterior#

posterior2d = posterior2 / (mus[1] - mus[0])
sns.lineplot(x=mus, y=posterior2d, label="posterior")
sns.lineplot(x=mus, y=prior2, ls="--", linewidth=2, label="prior");

Summarize the posterior#

Posterior mean#

postmu2 = np.sum(mus * posterior2)
postmu2
107.78678422532586

Posterior standard deviation#

poststd2 = np.sqrt(np.sum((mus-postmu2)**2*posterior2))
poststd2
2.7321084402431834

Posterior median#

cumsum2 = np.cumsum(posterior2)
mus[cumsum2.searchsorted(0.5)]
107.8

Posterior mode#

mus[np.argmax(posterior2)]
107.8

Credible interval for the mean#

from ministats import hdi_from_grid
hdi_from_grid(mus, posterior2, hdi_prob=0.9)
[103.16, 112.16]

Let’s compare the Bayesian credible interval to the frequentist confidence interval.

from ministats import ci_mean
ci_mean(iqs, method="a", alpha=0.1)
[102.83429390645762, 112.81237276020906]

Explanations#

Grid approximation details#

Choosing priors#

# TODO: move this code to `ministats.bayes`

from ministats import hdi_from_grid

def get_post_mean_stats(sample, sigma=15, prior_rv=None, ngrid=10001, xlims=[70,130],
                       stats=["mean", "median", "mode", "hdi90"]):
    mus = np.linspace(*xlims, ngrid)
    prior = prior_rv.pdf(mus)
    likelihoodsM = norm(loc=mus[:,np.newaxis], scale=sigma).pdf(sample)
    likelihood = np.prod(likelihoodsM, axis=1)
    numerator = likelihood * prior
    posterior = numerator / np.sum(numerator) 

    # compute stats
    results = {}
    if "mean" in stats:
        post_mean = np.sum(mus * posterior)
        results["post mean"] = post_mean
    if "median" in stats:
        cumsum = np.cumsum(posterior)
        post_median = mus[cumsum.searchsorted(0.5)]
        results["post median"] = post_median
    if "mode" in stats:
        post_mode = mus[np.argmax(posterior)]
        results["post mode"] = post_mode
    if "hdi90" in stats:
        hdi90 = hdi_from_grid(mus, posterior, hdi_prob=0.9)
        results["hdi90"] = [hdi90[0].round(3), hdi90[1].round(3)]
    if "prob_lt_100" in stats:
        idx100 = mus.searchsorted(100)
        prob_lt_100 = np.sum(posterior[0:idx100])
        results["prob_lt_100"] = prob_lt_100
    return results
# frequentist summary
from ministats import ci_mean
np.mean(iqs), ci_mean(iqs, alpha=0.1)
(107.82333333333334, [102.83429390645762, 112.81237276020906])
# TODO: move this code to `ministats.book.figures`

from ministats import plot_pdf

priors = [
    norm(loc=100, scale=40),
    # varying mu_M
    norm(loc=80,  scale=40),
    norm(loc=50,  scale=40),
    norm(loc=0,   scale=40),
    # varying sigma_M
    norm(loc=100, scale=30),
    norm(loc=100, scale=20),
    norm(loc=100, scale=10),
    norm(loc=100, scale=5),
    norm(loc=100, scale=3),
    norm(loc=100, scale=1),
]

def get_label(prior):
    mu = str(prior.kwds["loc"])
    sigma = str(prior.kwds["scale"])
    return r"$\mathcal{N}(" + mu + "," + sigma + ")$"


linestyles = ["dashed", "dotted", "dashdot", (5, (10, 3))]
xlims = [80,120]

with plt.rc_context({"figure.figsize":(6.5,2.6)}):
    fig, (ax1,ax2) = plt.subplots(1,2, sharey=True)
    for prior, ls in zip(priors[4:7], linestyles):
        plot_pdf(prior, ax=ax1, ls=ls, color="C1", xlims=xlims, label=get_label(prior))
    for prior, ls in zip(priors[7:], linestyles):
        plot_pdf(prior, ax=ax2, ls=ls, color="C1", xlims=xlims, label=get_label(prior))
    ax1.set_ylim(-0.003, 0.14)
    ax1.set_xlabel(r"$\mu$")
    ax1.set_ylabel(r"$f_M$")
    ax1.set_title("(a) Diffuse priors")
    ax2.set_xlabel(r"$\mu$")
    ax2.set_title("(b) Concentrated priors")
# TODO: move this code to `ministats.book.tables`

results_list = []
for prior in priors:
    stats = get_post_mean_stats(iqs, prior_rv=prior)
    result = prior.kwds.copy()
    stats["hdi90"] = [np.round(stats["hdi90"][0], 2), np.round(stats["hdi90"][1], 2)]
    result.update(stats)
    results_list.append(result)

results = pd.DataFrame(results_list)
results = results.round({"post mean":2, "post median":2, "post mode":2, "prob_lt_100":5})
results
# print(results.to_latex(index=False,formatters=[lambda x: "$" + str(x) + "$"]*7))
loc scale post mean post median post mode hdi90
0 100 40 107.79 107.79 107.79 [103.19, 112.19]
1 80 40 107.69 107.69 107.69 [103.1, 112.09]
2 50 40 107.55 107.55 107.55 [102.96, 111.95]
3 0 40 107.32 107.32 107.32 [102.72, 111.72]
4 100 30 107.76 107.76 107.76 [103.19, 112.16]
5 100 20 107.68 107.68 107.68 [103.16, 112.08]
6 100 10 107.28 107.28 107.28 [102.86, 111.56]
7 100 5 106.02 106.02 106.02 [102.05, 109.95]
8 100 3 104.27 104.27 104.27 [100.92, 107.58]
9 100 1 100.92 100.92 100.92 [99.32, 102.41]

Bayesian predictions#

Predicting future coin tosses#

np.random.seed(43)

from scipy.stats import bernoulli

ctoss_preds = []
for i in range(20):
    p_post = np.random.choice(ps, p=posterior1)
    ctoss_pred = bernoulli(p=p_post).rvs(1)[0]
    ctoss_preds.append(ctoss_pred)
ctoss_preds
[0, 1, 0, 1, 0, 0, 1, 1, 1, 0, 0, 0, 1, 0, 1, 1, 1, 0, 1, 1]

Predicting IQ scores#

np.random.seed(43)

sigma = 15  # known population standard deviation

iq_preds = []
for i in range(7):
    mu_post = np.random.choice(mus, p=posterior2)
    iq_pred = norm(loc=mu_post, scale=sigma).rvs(1)[0]
    iq_preds.append(iq_pred)
np.round(iq_preds, 2)
array([ 89.64, 110.31, 112.65, 121.25,  92.55, 132.49,  98.97])

Bayesian hypothesis testing#

Suppose we want to evaluate whether the IQ data measurements iqs comes from a population with a mean \(\mu_0=100\) or not, which corresponds to the null hypothesis (the smart drug was not effective).

Using credible intervals for decisions#

Consider the null hypothesis \(H_0: \mu=100\). We can informally reject this hypothesis, since the value \(\mu=100\) is outside the 90% credible interval.

hdi95 = hdi_from_grid(mus, posterior2, hdi_prob=0.95)
hdi95
[102.32, 113.03999999999999]

Region of practical equivalence#

We can also compute the total probability of in the posterior that falls within the region of practical equivalence (ROPE) \([97,103]\).

mu97 = mus.searchsorted(97)
mu103 = mus.searchsorted(103)
np.sum(posterior2[mu97:mu103+1])
0.04048123745423913

Hypothesis test#

We see the probability of \(\mu=100\) or smaller is around \(0.21\%\), which gives us reason to reject \(H_0\).

This conclusion is consistent with the conclusion of the frequentist one-sample \(t\)-test, which leads us to reject \(H_0\).

from scipy.stats import ttest_1samp
tt_res = ttest_1samp(iqs, 100, alternative="greater")
tt_res.statistic, tt_res.pvalue
(2.664408108831371, 0.006232014580899198)

Bayesian model comparison#

In Bayesian model comparison, we want compare the posterior probability distributions of two models:

The null hypothesis is \(H_0: \mu = \mu_0 = 100\) while the alternative hypothesis \(H_1: \mu \neq 100\). Actually, we need to be more specific and show the full Bayesian model under each distribution:

Under H0

Under H1

Bayes factors#

TODO: show formulas

Test 1: using a point null and Cauchy on effect size#

# under H0 = point-prior at mu=100
from scipy.stats import norm

sigma = 15  # known population standard deviation
mlikelihood_H0 = np.prod(norm(loc=100, scale=sigma).pdf(iqs))
mlikelihood_H0
5.415023175654281e-57

We’ll set a prior on the effect size \(\Delta = \mu / \sigma\), using the Cauchy distribution (very fat tails).

from scipy.stats import cauchy

r = 1  # scale for the Cauchy prior
plot_pdf(cauchy(scale=r), xlims=[-5,5]);
from scipy.integrate import quad

r = 1  # scale for the Cauchy prior
prior_delta = cauchy(scale=r)
delta_max = 10

def integrand(delta):
    # Convert delta into the mean under H1: mu = 100 + delta * sigma
    mu = 100 + delta * sigma
    # Likelihood as the product of normal densities for each observation
    likelihood = np.prod(norm(loc=mu, scale=sigma).pdf(iqs))
    prior = cauchy(loc=0, scale=r).pdf(delta)
    return likelihood * prior

mlikelihood_HA, _ = quad(integrand, -delta_max, delta_max)
print(mlikelihood_HA)

simple_BF_A0 = mlikelihood_HA / mlikelihood_H0
simple_BF_A0
3.64736136572192e-56
6.735633897413967
mugrid = np.linspace(-50, 250, 1001)

# under HA = diffuse prior
deltas = (mugrid-100) / sigma

prior_rv = cauchy(scale=r) 
prior = prior_rv.pdf(deltas)
norm_const = prior_rv.cdf(10) - prior_rv.cdf(-10)
prior = prior / np.sum(prior) * norm_const

likelihood_HA = np.prod(norm(loc=mugrid[:,np.newaxis], scale=sigma).pdf(iqs), axis=1)
mlikelihood_HA_alt = np.sum(likelihood_HA * prior)
print(mlikelihood_HA_alt)

simple_BF_A0_alt = mlikelihood_HA_alt / mlikelihood_H0
simple_BF_A0_alt
3.649465841847485e-56
6.739520263284064

Test 2: using the default Jeffrey-Zellner-Siow (JZS) prior#

\[ H_0: \mu = 100, \qquad H_A: \frac{\mu - 100}{\sigma} \sim \textrm{Cauchy}(r), \sigma \sim \textrm{Jeffreys} \]
# TODO: move this code to `ministats.bayes`

import numpy as np
from scipy.stats import norm, cauchy
from scipy.integrate import quad

# finite integration limits to avoid `np.inf`
simgma_max = 50
delta_max = 10

# Known mean under H0
mu_0 = 100

# Scale parameter under H1
r = 0.707  # scale for the Cauchy prior


# Define the marginal likelihood under H0 using Jeffreys prior for sigma
def marginal_likelihood_H0(iqs, mu_0):
    """
    Marginal likelihood under H0 with Jeffreys prior for sigma.
    """
    def integrand(sigma):
        # Likelihood as the product of normal densities for each observation
        likelihood = np.prod(norm.pdf(iqs, loc=mu_0, scale=sigma))
        # ALT.
        # likelihood = np.prod([norm.pdf(iq, loc=mu_0, scale=sigma) for iq in iqs])
        prior = 1 / sigma  # Jeffrey's prior for sigma
        return likelihood * prior

    result, _ = quad(integrand, 0, simgma_max) # limit=1000)
    return result

m0 = marginal_likelihood_H0(iqs, mu_0)
# print(m0)


# Define the marginal likelihood under H1, integrating over delta and sigma
def marginal_likelihood_HA(iqs, mu_0):
    """
    Marginal likelihood under H1 integrating over delta and sigma.
    """
    def integrand(delta, sigma):
        # Convert delta into the mean under H1: mu = mu_0 + delta * sigma
        mu = mu_0 + delta * sigma
        # Likelihood as the product of normal densities for each observation
        likelihood = np.prod(norm.pdf(iqs, loc=mu, scale=sigma))
        # ALT.
        # likelihood = np.prod([norm.pdf(iq, loc=mu, scale=sigma) for iq in iqs])
        prior_delta = cauchy(loc=0, scale=r).pdf(delta)
        prior_sigma = 1 / sigma  # Jeffrey's prior for sigma
        return likelihood * prior_delta * prior_sigma

    # Inner integral sigma for a given delta
    def integrate_delta(delta):
        return quad(lambda sigma: integrand(delta, sigma), 0, simgma_max)[0]

    # Outer integral over delta
    result, _ = quad(integrate_delta, -delta_max, delta_max)
    return result

mA = marginal_likelihood_HA(iqs, mu_0)
# print(mA)

# Compute the Bayes factor
BF_A0 = mA / m0

print(f"Bayes Factor (BF_A0): {BF_A0}")
Bayes Factor (BF_A0): 3.7201507341577433
# Bayes factor (based on JZS prior)
import pingouin as pg
pg.ttest(iqs, 100).loc["T-test","BF10"]
---------------------------------------------------------------------------
KeyError                                  Traceback (most recent call last)
File /opt/hostedtoolcache/Python/3.12.13/x64/lib/python3.12/site-packages/pandas/core/indexes/base.py:3641, in Index.get_loc(self, key)
   3640 try:
-> 3641     return self._engine.get_loc(casted_key)
   3642 except KeyError as err:

File pandas/_libs/index.pyx:168, in pandas._libs.index.IndexEngine.get_loc()
--> 168 'Could not get source, probably due dynamically evaluated source code.'

File pandas/_libs/index.pyx:197, in pandas._libs.index.IndexEngine.get_loc()
--> 197 'Could not get source, probably due dynamically evaluated source code.'

File pandas/_libs/hashtable_class_helper.pxi:7668, in pandas._libs.hashtable.PyObjectHashTable.get_item()
-> 7668 'Could not get source, probably due dynamically evaluated source code.'

File pandas/_libs/hashtable_class_helper.pxi:7676, in pandas._libs.hashtable.PyObjectHashTable.get_item()
-> 7676 'Could not get source, probably due dynamically evaluated source code.'

KeyError: 'T-test'

The above exception was the direct cause of the following exception:

KeyError                                  Traceback (most recent call last)
Cell In[51], line 3
      1 # Bayes factor (based on JZS prior)
      2 import pingouin as pg
----> 3 pg.ttest(iqs, 100).loc["T-test","BF10"]

File /opt/hostedtoolcache/Python/3.12.13/x64/lib/python3.12/site-packages/pandas/core/indexing.py:1199, in _LocationIndexer.__getitem__(self, key)
   1197     key = tuple(com.apply_if_callable(x, self.obj) for x in key)
   1198     if self._is_scalar_access(key):
-> 1199         return self.obj._get_value(*key, takeable=self._takeable)
   1200     return self._getitem_tuple(key)
   1201 else:
   1202     # we by definition only have the 0th axis

File /opt/hostedtoolcache/Python/3.12.13/x64/lib/python3.12/site-packages/pandas/core/frame.py:4495, in DataFrame._get_value(self, index, col, takeable)
   4491         if not isinstance(self.index, MultiIndex):
   4492             # CategoricalIndex: Trying to use the engine fastpath may give incorrect
   4493             #  results if our categories are integers that dont match our codes
   4494             # IntervalIndex: IntervalTree has no get_loc
-> 4495             row = self.index.get_loc(index)
   4496             return series._values[row]
   4497 
   4498         # For MultiIndex going through engine effectively restricts us to

File /opt/hostedtoolcache/Python/3.12.13/x64/lib/python3.12/site-packages/pandas/core/indexes/base.py:3648, in Index.get_loc(self, key)
   3643     if isinstance(casted_key, slice) or (
   3644         isinstance(casted_key, abc.Iterable)
   3645         and any(isinstance(x, slice) for x in casted_key)
   3646     ):
   3647         raise InvalidIndexError(key) from err
-> 3648     raise KeyError(key) from err
   3649 except TypeError:
   3650     # If we have a listlike key, _check_indexing_error will raise
   3651     #  InvalidIndexError. Otherwise we fall through and re-raise
   3652     #  the TypeError.
   3653     self._check_indexing_error(key)

KeyError: 'T-test'
# ALT. Bayes factor (based on JZS prior)
n = len(iqs)
tstat = (np.mean(iqs) - 100) / np.std(iqs, ddof=1) * np.sqrt(n)
pg.bayesfactor_ttest(tstat, nx=n)
3.7397058298821895
# TODO: sensitivity analysis
# plot BF for multiple values of r
# Compare to the frequentist result
from scipy.stats import ttest_1samp
ttest_1samp(iqs, popmean=100)
TtestResult(statistic=2.664408108831371, pvalue=0.012464029161798377, df=29)

Discussion#

Maximum a posteriori estimates#

Comparing Bayesian and frequentist approaches to statistical inference#

Strengths and weaknesses of Bayesian approach#

Sampling from the posterior (BONUS TOPIC)#

We’ll now show how to analyze the Bayesian analysis when the posterior distribution is available in the form of samples. This will be the form of analysis in all the future sections of the chapter, so I thought I can give you a little preview.

We start by generating some samples from the posterior distribution we obtained in Example 2.

np.random.seed(42)
postM = np.random.choice(mus, size=10000, replace=True, p=posterior2)
sns.kdeplot(postM);

Posterior mean#

To compute the mean of the posterior, we compute the mean of the samples.

postMmu = np.mean(postM)
postMmu
107.73182

In the next seciton, we’ll also learn about the ArviZ library, which is a Swiss Army knife for for summarizing, visualizing, and plotting the Bayesian analysis results. For example, we can obtain the mean using the summary function from the ArviZ library.

import arviz as az
az.summary(postM, kind="stats")
mean sd hdi_3% hdi_97%
x 107.732 2.712 102.76 112.84

The summary also includes the posterior standard deviation and the limits of a “94% high density interval” that contains 94% of the posterior probability density.

Posterior standard deviation#

To compute the standard deviation of the posterior, we compute the standard deviation of the samples.

np.sqrt(np.sum((postM-postMmu)**2) / len(postM))
2.712109726320084

Posterior median#

To compute the median of the posterior, we compute the median of the samples.

np.median(postM)
107.72

We can also obtain median using the ArviZ summary function, if we specify the stat_focus option.

az.summary(postM, kind="stats", stat_focus="median")
median mad eti_3% eti_97%
x 107.72 1.8 102.68 112.8

Credible interval#

from ministats import hdi_from_samples
hdi_from_samples(postM, hdi_prob=0.9)
[103.28, 112.16]
az.summary(postM, kind="stats", hdi_prob=0.9)
mean sd hdi_5% hdi_95%
x 107.732 2.712 103.28 112.16

Exercises#

Exercise 1: campaign conversions#

See explorations/bayesianprobabilitiesworkshop/Exercise%201.ipynb

TODO: check this

Exercise 2: apply Bayes rule for a diagnostic test#

You have designed a new test for detecting lung cancer that has the following characteristics:

  • Test gives a positive result \(98\%\) of the time when lung cancer is present.

  • Test gives a negative result \(96\%\) of the time when no lung cancer is present.

You also know that that in the general population, there is approximately one case of lung cancer per 1000 individuals.

Use Bayes rule to calculate the probability that a person who gets a positive test result has cancer, and interpret the result.

# data 
pC = 0.001  # prevalence 

pPgC = 0.98   # sensitivity
pNgC = 0.02   # false-negatives

pNgNC = 0.96  # specificity
pPgNC = 0.04  # false-positives
# solution

# Pr(P) = Pr(P|C)*Pr(C) + Pr(P|NC) * Pr(NC)
pP      = pPgC   * pC   + pPgNC    * (1-pC)

# Pr(C|P) = Pr(P|C) * Pr(C) / Pr(P)
pCgP      = pPgC    * pC    / pP
pCgP
0.02393746946751343
1 - pCgP
0.9760625305324866

The above calculation tells us 97.6% of people who test positive don’t actually have cancer. We shouldn’t be screening to the whole population, since that would lead to too many people getting scared for nothing. See the visualization tool at https://sophieehill.shinyapps.io/base-rate-viz/ to learn more about the base rate fallacy.

Exercise: algae#

see assignment2 from the BDA course

TODO